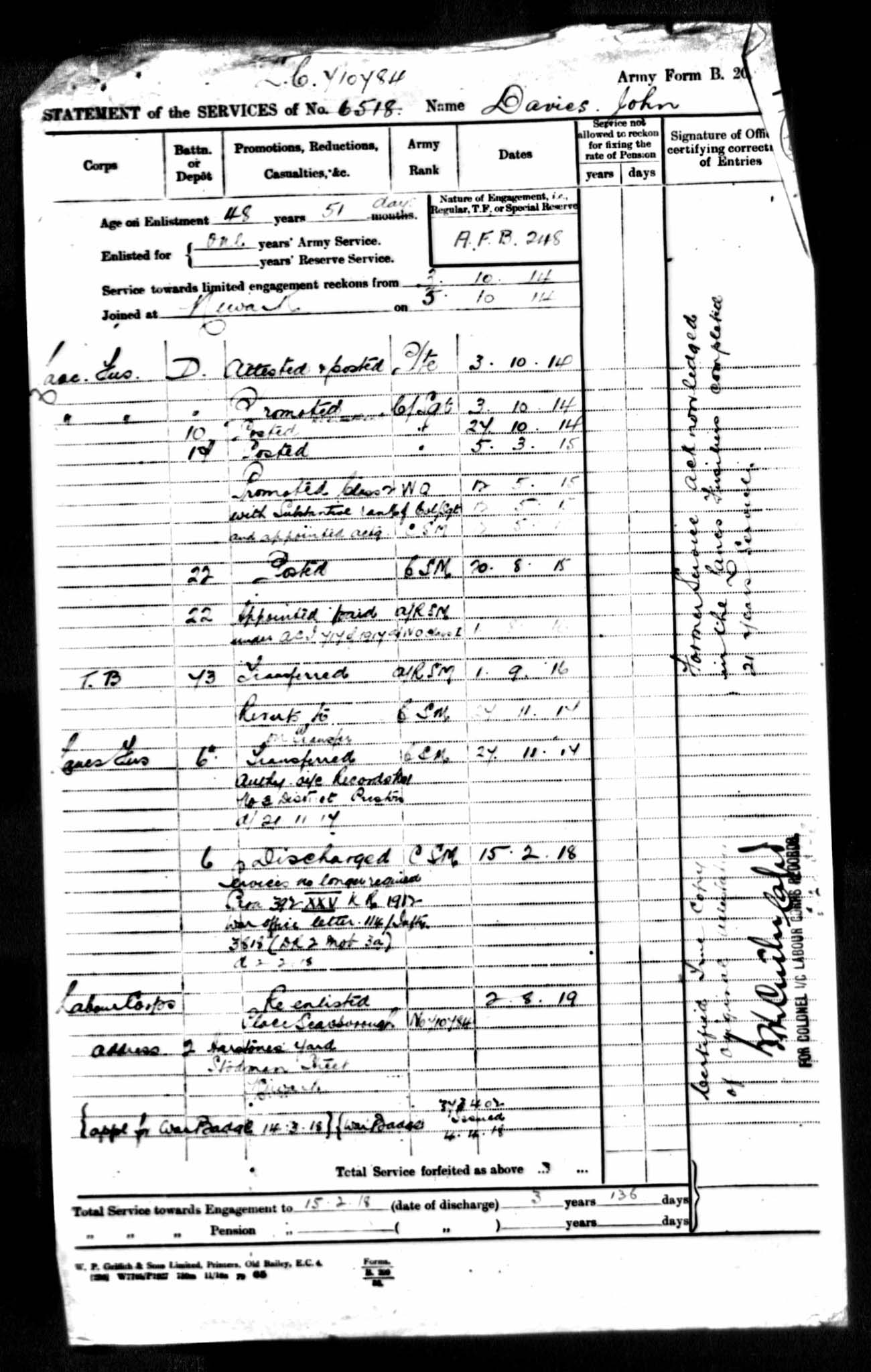
2328 C/SGT John Davies
6518 CSM John Davies
( Alias John Brown)
Royal Fusilier and Lancashire Fusiliers

A fascinating set of documents covering the period 1883 to 1919, when this man, using the assumed name of John Brown, joined the Royal Fusiliers and then transferred to the 2nd Bn Lancashire Fusiliers, using his real name, to serve with his brother in 1887.

He is known to have been a PS instructor with the 5th Bn when he fought at Spion Kop in the Boer War.

Having ended his engagement, he re-enlisted in the LFs for WW1 and was discharged in 1918 with the rank of Comany Sergeant Major, only to re-enlist in the Chinese Labour Corp where he served until 1919.

Sent in by his grandaughter

Louise Fitzpatrick
Myaree, Western Australia.
Medal Cards

Click on this one it will enlarge

Boer War
Click on any of the documents below they will enlarge
A
B
C
D
1
2
3
4

WW1


A
B
C
D
1

see note in next box
21st and 22nd (Reserve) Battalions
Formed at Conway and Ashton-in-Makerfield in August 1915 as Reserve Battalions. Moved to Prees Heath in November 1915.
1 September 1916 : converted into 72nd and 73rd Training Reserve Battalions in 17th Reserve Brigade
2

Chinese Labour Corp.

At the recruiting depots, the volunteer labourers (organgers) were formed into companies of between 300 and 500 men under the charge of a British officer with each company organised into platoons and sections under British and Chinese NCOs. Before departure, the companies were drilled and exercised, route marched and paraded: those who displayed most discipline would be rewarded with the best berths on the long voyage to Europe.
The first transport ship carrying 1,088 labourers sailed from the main depot at Wei-Hai-Wei on 18th January 1917. The route took them across the Pacific to Vancouver, where they boarded a train for the week-long journey across Canada to Halifax on the east coast. There another ship took them across the Atlantic to Liverpool, and from there to France. In all the journey took three months.
By the end of 1917 there were 54,000 Chinese labourers with the Commonwealth forces in France and Belgium, some of whom had been recruited
from the resident Chinese populations of Canada and other Allied countries after China had entered the war that August. The Chinese quickly earned a reputation for hard work, ingenuity and improvisation
Joe Eastwood

Death of Pensioner